Close Menu
SiamQuantSiamQuant
    Facebook YouTube
    Facebook YouTube
    SiamQuantSiamQuant
    ติดต่อเรา
    • กองทุนส่วนบุคคล
    • บทความและงานวิจัย
    • ร่วมงานกับเรา
      • รายละเอียดการรับสมัครทีมงาน
      • Researcher
      • Developer
      • Operations
      • Marketer
    • เกี่ยวกับเรา
      • เกี่ยวกับ SiamQuant
      • นโยบายการคุ้มครองข้อมูลส่วนบุคคล (Privacy Policy)
    • มุมสมาชิก
      • บัญชีของฉัน
      • AlphaClass Video Courses
      • AlphaSuite Installer & Manual
    SiamQuantSiamQuant
    Facebook YouTube
    Home»งานวิจัยและบทความทั้งหมด»องค์ความรู้จากการลงทุนอย่างเป็นระบบ»การลดความเสี่ยงของพอร์ตด้วย Assets Allocation»CORRELATION-COEFFICIENT-FORMULA

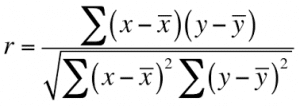
    CORRELATION-COEFFICIENT-FORMULA

    Koedkao PeeratiyuthBy Koedkao PeeratiyuthNovember 6, 2019No Comments1 Min Read

    Koedkao Peeratiyuth

    เกิดเก้า พีรติยุทธ์ (แตม) วิศวกรที่หันมาเดินทางในสายการเงินแบบเต็มตัวมากว่า 10 ปี ด้วย Passion อันแรงกล้าและความคลั่งไคล้ในการลงทุน โดยมีเป้าหมายสูงสุดคือการเผยแพร่และปลูกฝังแนวคิดการลงทุนเชิงวิทยาศาสตร์ให้นักลงทุนไทยได้ลงทุนกันด้วยหลักเหตุและผล ไม่ใช่ไสยศาสตร์ครับ !!

    Leave A Reply Cancel Reply

    You must be logged in to post a comment.

    Continue with Google
    หมวดหมู่บทความ
    บทความล่าสุด

    กลยุทธ์จัดพอร์ตการลงทุนแบบ 60/40 Portfolio พิมพ์เขียวและมาตรฐานของนักลงทุนสถาบันระดับโลก

    December 15, 2025

    กลยุทธ์จัดพอร์ตการลงทุนและกองมรดกแบบ 90/10 Portfolio ของ Warren Buffett

    December 12, 2025

    กลยุทธ์จัดพอร์ตการลงทุนรางวัลโนเบลแบบ Modern Portfolio Theory (MPT) ของ Harry Markowitz

    December 11, 2025

    ลงทะเบียนรับข่าวสารและบทความ

    กรอก E-Mail ของคุณ เพื่อติดตามข่าวสาร, องค์ความรู้ และงานวิจัยด้านการลงทุนชิ้นใหม่ๆจากพวกเรา Free!

    Social Medias ของเรา
    • YouTube
    • Facebook
    กองทุนส่วนบุคคลเชิงปริมาณ
    Demo
    Facebook YouTube
    © 2025 Copyright by SiamQuant.

    Type above and press Enter to search. Press Esc to cancel.