Close Menu
SiamQuantSiamQuant
    Facebook YouTube
    Facebook YouTube
    SiamQuantSiamQuant
    ติดต่อเรา
    • กองทุนส่วนบุคคล
    • บทความและงานวิจัย
    • ร่วมงานกับเรา
      • รายละเอียดการรับสมัครทีมงาน
      • Researcher
      • Developer
      • Operations
      • Marketer
    • เกี่ยวกับเรา
      • เกี่ยวกับ SiamQuant
      • นโยบายการคุ้มครองข้อมูลส่วนบุคคล (Privacy Policy)
    • มุมสมาชิก
      • บัญชีของฉัน
      • AlphaClass Video Courses
      • AlphaSuite Installer & Manual
    SiamQuantSiamQuant
    Facebook YouTube
    Home»งานวิจัยและบทความทั้งหมด»องค์ความรู้จากการลงทุนอย่างเป็นระบบ»กลยุทธ์การลงทุนแบบ DCA ดีจริงหรือ?»SiamQuant – Compare CAGR DCA and LS

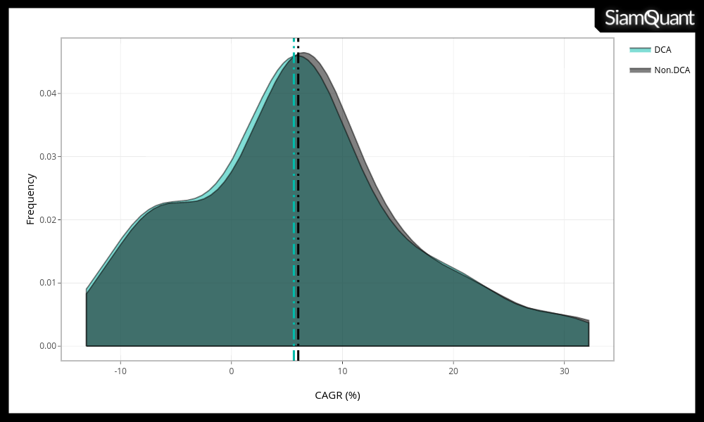
    SiamQuant – Compare CAGR DCA and LS

    Thanadon PraphutikulBy Thanadon PraphutikulFebruary 18, 2019No Comments1 Min Read

    Thanadon Praphutikul

    ทีมงานวิจัยระบบการลงทุน SiamQuant Alpha Researcher ด้วยความที่ต้องการสร้างผลตอบแทนให้ชนะตลาด จึงเริ่มต้นการลงทุนอย่างเป็นระบบมามากกว่า 5 ปีเพราะทำให้เราสามารถพิสูจน์ถึงแนวคิดการลงทุนต่างๆได้ด้วยวิธีการทางวิทยาศาสตร์ที่จับต้องได้จริง ^^

    Leave A Reply Cancel Reply

    You must be logged in to post a comment.

    Continue with Google
    หมวดหมู่บทความ
    บทความล่าสุด

    กลยุทธ์จัดพอร์ตการลงทุนและกองมรดกแบบ 90/10 Portfolio ของ Warren Buffett

    December 12, 2025

    กลยุทธ์จัดพอร์ตการลงทุนรางวัลโนเบลแบบ Modern Portfolio Theory (MPT) ของ Harry Markowitz

    December 11, 2025

    กลยุทธ์จัดพอร์ตการลงทุนแบบตลาดโลก Global Market Portfolio เพื่อสร้างผลตอบแทนในอุดมคติสำหรับ Passive Investors

    December 9, 2025

    ลงทะเบียนรับข่าวสารและบทความ

    กรอก E-Mail ของคุณ เพื่อติดตามข่าวสาร, องค์ความรู้ และงานวิจัยด้านการลงทุนชิ้นใหม่ๆจากพวกเรา Free!

    Social Medias ของเรา
    • YouTube
    • Facebook
    กองทุนส่วนบุคคลเชิงปริมาณ
    Demo
    Facebook YouTube
    © 2025 Copyright by SiamQuant.

    Type above and press Enter to search. Press Esc to cancel.